貝塞爾光束的特性
時間:2025-07-02
來源:新特光電
訪問量:1256
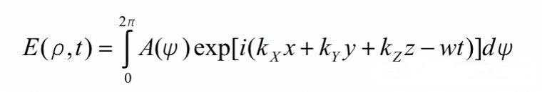
用波矢k躺在一錐體表面內的一組平面波的疊加推導出貝塞爾光束的表達式:

其中ψ為極角,A(ψ)是ψ任意復函數,而貝塞爾積分公式為:

即最后E(r,t)可簡單的寫成:

這里,

為徑向距離
J0是零階第一類貝塞爾函數,則由式所決定的橫平面上的光強分布為:

理論推導中發現無衍射光束垂直于傳輸方向的任意橫截面,其光強分布均服從第一類零階貝塞爾函數形式,故也稱“無衍射光束”為貝塞光束。貝塞爾光束除了具有無衍射性和自愈性外,它的光強分布對稱且沿直線傳輸,可用于激光準直、檢測測量領域。周釗賢等人[2]用非線性光子晶體光纖直接輸出超連續貝塞爾光束,崔超涵等人[3]利用空間光調制器設計半周期空間光相位調制的方案獲得貝塞爾光束。孫川等人[4]用線性徑向梯度折射率透鏡產生長距離、高質量的貝塞爾光束,改變線性徑向梯度折射率透鏡的厚度和折射率曲線參數可以很容易改變其產生光束的無衍射距離。下圖為貝塞爾光束,隨著軸錐周期變化貝塞爾光束由環狀聚焦為點狀。

接收距離為50cm處,光束隨軸錐周期的變化圖
您可能感興趣的文章
用于光伏激光加工的sill掃描透鏡解析
在光伏電池技術迭代中,激光加工已成為提升轉換效率的核心工藝——從PERC電池的背鈍化開槽到TOPCon的硼摻雜,再到鈣鈦礦電池的精密劃線。而355nm紫外激光因其對硅材料的高吸收率和冷加工特性,成為光伏制造的“隱形刻刀”。本文將解析SILL-S4LFT1330-075F-Theta鏡頭如何以光學創新推動光伏產業降本增效。一、光伏激光加工的
2025-07-11
查看更多
Sil Optics緊湊型高功率紫外消色差掃描透鏡突破工業極限
在精密制造、半導體加工、醫療設備等尖端領域,紫外超短脈沖激光(尤其是飛秒級)因其“冷加工”特性、超高精度和極小熱影響區,正成為不可替代的工具。然而,駕馭這種“光之利刃”卻面臨一個基礎光學難題:如何讓如此短暫而強大的脈沖,精準地聚焦到每一個需要的位置?Sil Optics 最新推出的S4LFT4015-075-FS緊
2025-07-09
查看更多
雙層防御:ZnSe基材+抗損涂層的1-3x變焦擴束鏡
Sill 推出的新型硒化鋅擴束鏡,專為 9300 nm 波長(典型 CO2 激光器)設計,提供 1.0x 至 3.0x 連續可調的倍率范圍和獨特的光束發散角調節功能,是高精度工業加工、激光雷達和科研應用的理想光學器件。其基于伽利略結構的無焦點設計和 ZnSe(硒化鋅)材料,確保了高功率處理能力和卓越的光學性能。一、核心光學性能:精準調
2025-07-08
查看更多
CLBO晶體:深紫外激光的“光學心臟”
在追求更短波長激光,特別是深紫外(波長<200nm)激光的科技前沿,一種名為CLBO(化學式 CsLiB?O??,硼酸銫鋰)的人工晶體正扮演著至關重要的角色。它如同精密激光系統的“光學心臟”,默默驅動著從尖端芯片制造到前沿科學探索的眾多關鍵應用。一、 何謂CLBO?非線性光學的精密“轉換器”CLBO屬于非線性光學晶體
2025-07-04
查看更多
光纖耦合聲光調制器:精妙小巧封裝,持續塑造未來
光纖激光器的控制核心對于許多從事制造業材料加工的原始設備制造商 (OEM) 而言,光纖激光器和光纖耦合激光器是他們為不同應用領域的終端客戶提供價值的核心。控制這些光纖激光器的輸出——光束的時序、強度和時間波形——至關重要。同樣關鍵的是,能夠以可靠、高效、經濟且根據特定設計和應用要求量身定制的方式實
2025-07-03
查看更多
量子光,低溫晶體:PPKTP的優勢
即使是最穩定的激光器也并非絕對安靜。光以離散光子的形式傳播,會引入統計波動,即散粒噪聲,從而導致光學測量精度達到標準量子極限。然而,量子光學提供了一種解決方法。壓縮態重新分配了不確定性,將一個屬性(相位或振幅)的噪聲縮小到散粒噪聲本底以下,同時增加另一個屬性的噪聲。在相位-振幅圖上,圓形噪聲圓變成了一
2025-06-21
查看更多
激光世界的“塑形大師”:激光擴束鏡
在激光技術編織的現代科技圖景中,一束纖細而高能的激光束是其核心筆觸。然而,原始激光器產生的光束常面臨“過瘦”或“發散快”的窘境——光束直徑太小,能量密度過高易損傷光學元件;發散角過大,能量無法遠距離有效傳輸。此時,激光擴束鏡便如一位精于“形塑”的光學大師悄然登場,成為提升激光系統性能不可或缺的關鍵組
2025-06-20
查看更多
使用Synrad CO2激光器實現聚碳酸酯的理想加工
使用CO2激光切割聚碳酸酯時,切割質量會受到輔助氣體壓力的影響。使用盡可能高的輔助氣體壓力(> 4巴)可以獲得更干凈的切邊。高壓輔助氣體能夠快速吹走熔融顆粒,從而獲得干凈光滑的切邊,使CO2激光切割更加高效。對9.3μm和10.6μm兩種波長進行比較發現,它們在切割質量和速度方面存在差異。就避免變色而言,最佳結果是在準連續模式下使用10.6μm波長和高輔助氣體壓力實現的。總體而言,較弱的吸收會導致切割速度降低約30%。從經濟角度來看,最可行的選擇是使用9.3μm的CO2激光器并采用準連續模式。由此產生的切割邊緣只有非常輕微的變色,但在相同的平均輸出功率下,可以實現更高的切割速度和更好的表面光滑度。此外,由于氮氣和壓縮空氣產生的切割邊緣質量相似,因此應選擇壓縮空氣以降低成本。
2025-12-15
查看更多
利用CO2激光器對聚丙烯薄膜進行優化加工
Synrad高性能CO2激光器憑借其長波長在許多常用薄膜材料中具有卓越的吸收性能,因此非常適合這些應用。具體來說,對于聚丙烯薄膜,只需將CO2激光器的波長從標準的10.6 μm略微調整到更適合該材料吸收的波長,即可顯著提高加工速度和加工質量。
2025-12-15
查看更多
使用高性能CO2激光器解決標識與編碼方案指南
從條形碼、UPC碼、零件號/代碼和批次代碼,到有效期和最佳使用日期代碼,激光打標和編碼系統都能勝任。在各種材料和表面上進行持久耐用的標記,需要只有激光打標和編碼系統才能提供的卓越性能。在本篇博文中,我們將探討數字控制激光打標和編碼系統的所有優勢,以及選擇合適的解決方案為何是提升運營效率的關鍵。Synrad高性能CO2激光器專為應對嚴苛的工業環境而設計,確保從冷啟動到正常工作溫度都能保持穩定的卓越性能。確保激光器年復一年地穩定可靠運行。并針對特定的圖案要求進行了優化。
2025-12-15
查看更多

