主被動雙調Q內腔MgO∶PPLN中紅外光參量振蕩器
引言
由于3~5μm波段中紅外激光源在激光通信、遙感、激光雷達和大氣環境監測等方面得到廣泛應用,光學參量振蕩器(OPO)作為獲得該波段激光的常用方法也越來越受到關注。目前,用于產生中紅外激光的OPO非線性晶體主要有ZnGeP2(ZGP)、AgGaSe2(AGS)、周期極化LiNbO3(PPLN)等。其中:ZGP和AGS晶體的生長成本較高,對2μm以下的激光有著很強的吸收,不適用于1μm激光作為泵浦源的情況;PPLN晶體在室溫下容易發生光折變損傷。摻雜MgO的周期性極化鈮酸鋰(MgO∶PPLN)因具有非線性系數大、損傷閾值高、透光范圍寬等優點,成為了準相位匹配的首選非線性晶體。內腔OPO可以有效利用腔內高光子數密度的基頻光,使得OPO具有更低的泵浦閾值和更高的非線性轉換效率。相比于連續激光泵浦,脈沖激光具有更高峰值能量密度,能夠使內腔光參量振蕩器(IOPO)更加有效地工作。
目前,在IOPO的基頻光腔內應用Q開關一直是獲得高峰值功率脈沖激光的有效手段,其中聲光Q開關(AO)可以控制脈沖序列的重復頻率但獲得的脈沖寬度較寬。而被動Q開關調制雖然可以獲得較窄 的脈沖寬度,但重復頻率穩定性較差且脈沖峰值功率較低。大量的研究已經表明,主被動雙調Q技術 是一種能夠同時提高光束質量、壓縮脈沖寬度并提高峰值功率的有效手段。因此,結合主被動雙調Q技術的IOPO,可以產生具有窄脈沖寬度、高峰值功率的激光脈沖。2009年,Wang等搭建了基于AO-Cr4+∶YAG可飽和吸收體雙調Q泵浦的KTiOAsO4(KTA)IOPO,在6.84 W的泵浦功率和10 kHz的重復頻率下獲得了脈寬為2.24 ns的1.57μm信號脈沖,并且在重復頻率5 kHz處獲得的最佳脈沖寬度的壓縮比約為42.6%。2017年,Qiao等也基于AO-Cr4+∶YAG雙調Q泵浦的KTA IOPO實現了1535 nm的信號光輸出,在18.3 W的泵浦功率和10 kHz的重復頻率下,輸出信號光脈沖寬度最窄是2.4 ns,對應的最大峰值功率是47 kW,而雙調Q信號光最短脈沖寬度是898 ps,對應的最大峰值功率是68.4 kW。目前,基于聲光Q開關和Cr4+∶YAG可飽和吸收體的雙調Q開關對于壓縮IOPO輸出激光脈寬并提升峰值功率有較好的調制作用,且研究主要集中在近紅外波段,而關于中紅外波段的研究鮮有報道。
本文以MgO∶PPLN作為非線性晶體,研究了基于AO-Cr4+∶YAG可飽和吸收體的主被動雙調Q泵浦的IOPO的輸出特性。當泵浦功率為18.41 W、重復頻率為40 kHz時,主被動雙調Q IOPO實現了輸出功率為381 mW、單脈沖能量為9.53μJ、脈沖寬度為6.43 ns和峰值功率為1.48 kW的3.8μm激光脈沖輸出。
實驗裝置
基于聲光Q開關(AOQS)和Cr4+∶YAG可飽和吸收體的主被動雙調Q的MgO∶PPLN IOPO的實驗裝置如圖1所示。泵浦源采用中心波長為808 nm、最大輸出功率為45 W的半導體泵浦模塊,纖芯直徑為400μm,數值孔徑(NA)為0.22。泵浦光束被耦合鏡聚焦至增益介質,耦合效率可達97%。增益介質Nd∶YVO4是由摻雜了Nd3+的YVO4(長度為16 mm,Nd3+的原子數分數為0.25%)和純YVO4(長度為4 mm)組成的鍵合晶體(尺寸為3 mm×3 mm×20 mm)。其端面鍍有808 nm&1064 nm增透膜并被銦箔包裹放在紫銅熱沉中,接通水冷系統調控溫度。焦距為100 mm的聚焦鏡(F)作為光學鎮定器被放置在距Nd∶YVO4輸出端90 mm處的激光諧振腔中,可以提高光學穩定性和轉換效率。整個激光諧振腔由1064 nm增益腔和光參量振蕩腔構成。曲率半徑為300 mm的腔鏡M1與平鏡M3構成長度為264 mm的增益腔,腔鏡M2與M3構成長度為100 mm的光參量振蕩腔。在M1和F之間放置一個通光方向尺寸為35 mm的聲光Q開關和一塊厚度為2.3 mm的Cr4+∶YAG晶體,其小信號透射率為92.67%,晶體的直徑是10 mm。在M2和M3中間放置一塊MgO∶PPLN晶體,實現內腔中紅外變頻。晶體極化周期為29.5μm,摻雜物MgO的原子數分數為5%,尺寸為50 mm×4 mm×2 mm,其兩端鍍有1064 nm、1.4~1.7μm和3.0~4.0μm的增透膜。晶體被放在精度為±0.1 K的溫控爐中,設置溫度為25℃。實驗中腔鏡鍍膜參數如表1所示。由于本實驗未采用高功率泵浦,為了降低IOPO的泵浦閾值,我們采用的M3對信號光高反,并且整個實驗中未出現逆轉換現象。

圖1、雙調Q的MgO∶PPLN IOPO實驗裝置示意圖

表1、各腔鏡鍍膜參數
OPO理論分析
MgO∶PPLN晶體是在摻雜了MgO的LiNbO3的晶體兩端,通過外加電場的方式對其自發極化方向進行周期性調制而獲得的。根據準相位匹配條件,在OPO過程中三波需要滿足能量守恒和動量守恒定律:

式中:λp、λs和λi分別為基頻光、信號光和閑頻光的波長;Λ為晶體極化周期;np、ns和ni分別為基頻光、信號光和閑頻光的折射率。折射率可根據MgO∶PPLN晶體的e光折射率Sellmeier方程來計算:

式中:各項參數值如表2所示;f為溫度t的函數,其表達式為

表2、Sellmeier 方程的各項參數值

基于上述理論,模擬了基于MgO∶PPLN IOPO的極化周期調節曲線,其模擬結果如圖2所示。從圖2可知,當MgO∶PPLN晶體的極化周期為29.5μm且溫度設置成25℃時,理論上可以獲得3.828μm的中紅外激光。

圖2 、MgO∶PPLN OPO周期調諧曲線
實驗結果與討論
聲光調Q的IOPO實驗
首先進行聲光調Q的MgO∶PPLN IOPO實驗,實驗結果如圖3所示。使用功率探頭探測閑頻光的輸出功率。隨著泵浦功率的改變,聲光調Q閑頻光輸出功率的變化規律如圖3(a)所示。可以看出,閑頻光輸出功率隨著泵浦功率的增大而增大,但隨著重復頻率的增大而減小。當泵浦功率為18.41 W時,30、40、50 kHz三種重復頻率情況下聲光調Q閑頻光的最大輸出功率分別是564、490、460 mW,808 nm泵浦光-閑頻光的轉換效率分別為3.06%、2.66%、2.50%。接著使用中紅外脈寬探測器采集閑頻光信號,并在數字示波器上記錄閑頻光脈沖序列及時間波形。隨著泵浦功率的改變,三種重復頻率下的閑頻光脈沖寬度的變化如圖3(b)所示,可以看出閑頻光脈沖寬度隨泵浦功率的增加呈單調遞減,隨重復頻率的增加呈單調遞增。當泵浦功率為18.41 W時,實驗測得30、40、50 kHz三種重復頻率下聲光調Q內腔OPO的輸出脈沖寬度最小值分別為9.02、9.50、10.55 ns。單脈沖能量和峰值功率可以通過對應的平均輸出功率與脈沖寬度計算得到[27]。在聲光調Q方式下,內腔OPO輸出閑頻光的單脈沖能量隨泵浦功率的變化規律如圖3(c)所示,可以看到,單脈沖能量與泵浦功率呈正比關系而與重復頻率呈反比關系。當泵浦功率為18.41 W時,30、40、50 kHz三種重復頻率情況下聲光調Q閑頻光的單脈沖能量分別是18.80、12.25、9.20μJ。三種重復頻率下聲光調Q閑頻光的峰值功率隨泵浦功率的變化規律如圖3(d)所示,可以看到峰值功率隨著泵浦功率的增加而增大。當泵浦功率為18.41 W時,30、40、50 kHz三種不同重復頻率下聲光調Q閑頻光的峰值功率分別為2.08、
1.29、0.87 kW。從上述實驗結果可知,在30 kHz的重復頻率下,聲光調Q內腔OPO可以獲得具有最大輸出功率、單脈沖能量、最窄脈沖寬度和最高峰值功率的閑頻光。

圖3、不同重復頻率下聲光調Q的MgO∶PPLN IOPO實驗結果。(a)輸出功率;(b)脈沖寬度;(c)單脈沖能量;(d)峰值功率
使用焦熱電陣列相機對聲光調Q內腔OPO在40 kHz重復頻率下的輸出激光光斑進行多位置測量。將焦距為150 mm的聚焦透鏡放在輸出鏡后,通過刀口法測得激光光斑的數據,并對其進行擬合。聲光調Q內腔OPO閑頻光的光束質量如圖4所示,可以看出,聲光調Q內腔OPO輸出的閑頻光的橫向光束質量因子(M和縱向光束質量因子(My2)分別為3.11和3.44。

圖4、聲光調Q閑頻光光束質量
雙調Q的IOPO實驗
首先,我們設置重復頻率為40 kHz,通過選取小信號透過率分別為88.14%和92.67%的Cr4+∶YAG被動Q晶體,分析了不同小信號透過率對雙調Q的MgO∶PPLN IOPO輸出特性的影響。實驗結果如圖5所示。不同小信號透過率下雙調Q閑頻光的輸出功率隨泵浦功率的變化規律如圖5(a)所示。可以看到,相較于88.14%的透過率(T0),92.67%小信號透過率下雙調Q閑頻光的輸出功率整體提升。當泵浦功率為18.41W時,輸出功率分別是353 mW和381 mW。不同小信號透過率下雙調Q閑頻光的脈沖寬度隨泵浦功率的變化規律如圖5(b)所示。可以看到,在18.41 W的泵浦功率下,T0=88.14%和T0=92.67%時雙調Q閑頻光的脈沖寬度分別為6.95 ns和6.43 ns。T0=92.67%時雙調Q閑頻光的脈沖寬度更窄。不同小信號透過率對雙調Q閑頻光單脈沖能量的影響如圖5(c)所示。可以看出,在18.41 W的泵浦功率下,T0=88.14%和T0=92.67%時雙調Q閑頻光的最大單脈沖能量分別是8.8μJ和9.5μJ。不同小信號透過率對雙調Q閑頻光峰值功率的影響如圖5(d)所示。可以看到,在18.41 W的泵浦功率下,T0=88.14%和T0=92.67%時雙調Q閑頻光的峰值功率分別為1.27 kW和1.48 kW。相較于T0=88.14%的透過率,92.67%小信號透過率下雙調Q閑頻光的峰值功率整體更高。
接下來我們選用小信號透過率為92.67%的Cr4+∶YAG被動Q晶體進行雙調Q的MgO∶PPLN IOPO實驗,實驗結果如圖6所示。泵浦功率對雙調Q閑頻光輸出功率的影響如圖6(a)所示。可以看到,在30、40和50 kHz三種重復頻率下,雙調Q閑頻光的最大輸出功率分別是436、381和316 mW,808 nm泵浦光-閑頻光的轉換效率分別是2.37%、2.07%和1.72%。受泵浦功率影響的雙調Q閑頻光的脈沖寬度變化曲線如圖6(b)所示。可以看到,在18.41 W的泵浦功率下,重復頻率為30、40和50 kHz時雙調Q閑頻光的最窄脈沖寬度分別是6.20、6.43和6.73 ns。雙調Q閑頻光的單脈沖能量隨泵浦功率的變化如圖6(c)所示。可以看出,在18.41 W的泵浦功率下,重復頻率為30、40和50 kHz時雙調Q閑頻光的最大單脈沖能量分別是14.5、9.5和6.3μJ。雙調Q閑頻光的峰值功率隨泵浦功率的變化如圖6(d)所示。可以看到,在18.41 W的泵浦功率下,重復頻率為30、40和50 kHz時雙調Q閑頻光的峰值功率分別為2.34、1.48和0.94 kW。
使用傅里葉光譜儀(波長精度小于0.01 cm-1,光譜范圍為1.0~5.6μm)對雙調Q的MgO∶PPLN IOPO輸出光譜進行測量,其結果如圖7所示,閑頻光中心波長為3.818μm,線寬為3.896 nm。
雙調Q內腔OPO輸出閑頻光的光束質量如圖8所示。雙調Q內腔OPO輸出閑頻光的M和My2分別是1.98和2.05。

圖5、不同小信號透過率對雙調Q的MgO∶PPLN IOPO輸出特性的影響。(a)輸出功率;(b)脈沖寬度;(c)單脈沖能量;(d)峰值功率

圖6、不同重復頻率下雙調Q的MgO∶PPLN IOPO實驗結果。(a)輸出功率;(b)脈沖寬度;(c)單脈沖能量;(d)峰值功率

圖7、雙調Q的MgO∶PPLN IOPO輸出光譜

圖8、雙調Q閑頻光的光束質量
實驗結果對比
最后,選取重復頻率為40 kHz,對兩種調Q方式下的閑頻光輸出特性進行了比較分析,其結果如圖9所示。圖9(a)可以看出,相較于聲光調Q,插入Cr4+∶YAG被動Q晶體后,雙調Q輸出閑頻光功率確實降低了,并且閾值增大。從圖9(b)可以看出,與聲光調Q相比,在基頻光腔中插入Cr4+∶YAG晶體可以有效壓縮閑頻光的脈沖寬度。在泵浦功率為18.41 W時,其脈沖寬度被壓縮了32.3%。這是因為閑頻光是由基頻光經過MgO∶PPLN晶體后變頻產生的,利用Cr4+∶YAG被動晶體的可飽和吸收特性,在聲光調Q內腔OPO的基頻光腔內插入Cr4+∶YAG被動Q晶體可以等效地縮短聲光Q開關的開關時間,加速了Q開關打開時腔損耗的變化,從而縮短了腔內基頻光的脈沖下降沿時間,進而腔內振蕩的基頻光的脈沖寬度變窄,最終實現了閑頻光脈沖寬度的有效壓縮。從 圖9(c)可以看到,相比于聲光調Q,雙調Q內腔OPO輸出閑頻光的單脈沖能量普遍降低。其直接原因是:雙調Q內腔OPO輸出閑頻光的功率降低,從而導致了其單脈沖能量降低。而從圖9(d)可以看出,得益于脈沖寬度的壓縮,雙調Q內腔OPO的閑頻光峰值功率提升了14.7%。此外,雙調Q內腔OPO輸出激光的光束質量得到了明顯的提高。這是因為插入的Cr4+∶YAG晶體起到了“小孔光闌”的作用。通過上述對比可知,在IOPO中應用由聲光Q開關和r4+∶YAG被動Q晶體組成的雙調Q開關,可以有效地壓縮閑頻光的脈沖寬度并提高其峰值功率和光束質量。

圖9、不同調Q方式下閑頻光輸出特性的對比。(a)輸出功率;(b)脈沖寬度;(c)單脈沖能量;(d)峰值功率
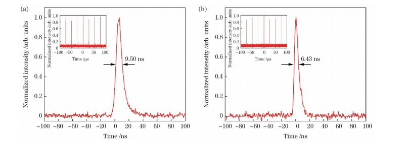
在泵浦功率為18.41 W和聲光重復頻率為40 kHz時,聲光調Q和雙調Q內腔OPO輸出的閑頻光的脈沖序列和脈沖寬度分別如圖10(a)、(b)所示。

圖10、不同調Q方式下閑頻光的脈沖序列和脈沖寬度。(a)聲光調Q;(b)雙調Q
結論
報道了一種基于雙調Q泵浦的內腔MgO∶PPLN中紅外OPO。實驗結果證明了在腔內泵浦單諧振OPO中同時使用聲光Q開關和Cr4+:YAG可飽和吸收體,能夠有效壓窄3.8μm閑頻光的脈沖寬度,并提高其峰值功率。當泵浦功率為18.41 W、重復頻率為40 kHz時,脈沖寬度壓縮了32.3%,峰值功率提升了14.7%,得到了最窄脈沖寬度為6.43 ns以及峰值功率為1.48 kW的激光脈沖,同時雙調Q的MgO∶PPLN IOPO輸出的閑頻光的光束質量得到了改善。研究結果為研發窄脈沖寬度、高峰值功率的高質量中紅外光源提供了新的技術支持。
文章來源:中國激光, 2024, 51 (14): 1401013(如有侵權,請聯系刪除)
CLBO晶體:深紫外激光的“光學心臟”
量子光,低溫晶體:PPKTP的優勢
PPKTP晶體:驅動量子科技發展的非線性光學核心材料
LBO晶體:引領高功率激光頻率轉換的核心元件
非線性光學倍頻晶體的比較與應用:CLBO、LBO、BBO與KTP
超越傳統非線性晶體:PP-Mg:SLT在寬譜頻率轉換中的優勢
攻克灰跡效應難題的高性能非線性光學材料—HGTR KTP晶體
PP-MgSLT晶體如何實現高效全波段激光轉換
重塑光子糾纏:HP APKTP晶體如何開啟量子光源新紀元

